Mutational Folding Rate Analysis |
2.gif)
|
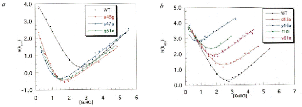
lower kf
|
increase ku
|
| Dependence of the rate of folding and unfolding on the denaturant concentration for a, mutants which lower kf and b, mutants which increase ku. The data for the wild type protein (black) is shown in both panels for comparison. For several of the mutants, the dependence of the folding rate on the guanidine concentration is greater than that of the wild type protein; these muta-tions may cause some expansion of the denatured state. The color scheme for the mutants is as follows: (a) A45G, red; S47A, blue; G51A, green: (b) Y16A, blue; F10I, green; V61A, magenta; D15A, red. The solid lines represent the fits to the experimental data. (Figure adopted from Grantcharova and Baker, Nat. Struct. Biol., 1998, 5(8):714) | |
[Home]
Danny S. Hsu 1999-2000. All rights reserved.