Complete Mutation Analysis


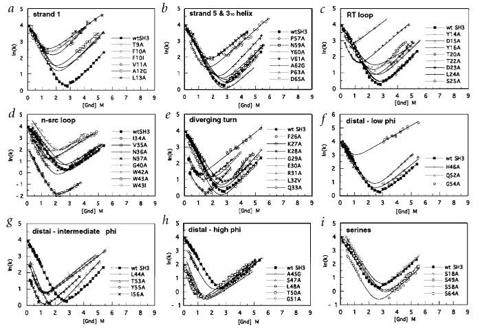
Dependence of the rate of folding and unfolding on the denaturant concentration for all the mutants grouped into structural regions (a-h). i, Serine to alanine substitutions with unusual behavior. The data for the wild type (wt) protein (filled square) is shown in all panels for comparison. The solid lines represent the fits to the experimental data. (Figure adopted from Riddle et al., Natu. Struct. Biol., 1999, 6(11):1016)

[Mapping to Structure][Home]


Danny S. Hsu 1999-2000. All rights reserved.